各教学点、各学员:
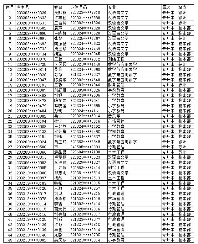
我校高等学历继续教育2024级学生于2月3日前报到注册。根据《普通高等学校学生管理规定》(教育部第41号令)和《宿迁学院高等学历继续教育学生学籍管理实施细则》,无故逾期两周不报到者,取消入学资格。经统计核实,共有87名新生未报到,现将名单公示如下:


公示时间:2024年3月13-19日;公示方式:宿迁学院继续教育学院网站;对公示结果如有异议,请与继续教育学院蔡老师联系,电话:052784205123。
公示期满结束按我校学籍管理规定,以上人员将按照未报到处理,取消入学资格,不予以在中国高等教育学生信息网(学信网)进行学籍注册。
2024年3月13日